TEXTE AVANT GLOBAL
La liste des matériaux pour la fondation et la partie maçonnerie du projet
<pagebreak1>
La liste des matériaux pour la partie bois du projet
Pour limiter au maximum les chutes de bois, des pièces de bois de grande longueur ont été utilisées afin d’obtenir des grosses chutes qui sont réutilisées pour les plus petites pièces de même section.
Exemple : la longueur de la lisse basse (Liss_b7) est de 257,1 cm, il est possible de commander ou d’acheter une pièce de bois avec une longueur de 260 ou 270 cm pour la réaliser. Or sur la liste des pièces d’ossature, il y a des pièces de même section et de même nombre que la lisse (Liss_b7) avec des petites longueur :
- la lisse haute (Liss_h6) = 223,6 cm,
- la traverse (Trv3) = 9,2 cm.
Avec une pièce de bois de 270 cm, il y a une chute de bois de 12,9 cm qui ne peut plus être utiliser.
Avec une pièce de 500 cm, il y a une chute de 242,9 cm qui peut être débitée pour obtenir les 223,6 cm de la lisse haute (Liss_h6) et les 9,2 cm de la traverse (Trv3).
Cela permet de réduire également le nombre d’éléments de la liste des matériaux (liste d’achat).
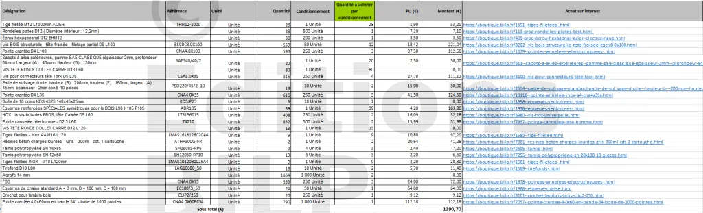
La Quincaillerie
Le choix des élément de fixation garantisse la solidité de l’ouvrage. Afin d’éviter les vas-et-viens pour les manques sur la quantité de la quincaillerie il faut être minutieux lors de la quantification. Sur chaque projet de BILP, l’utilisation de chaque élément de la quincaillerie est mentionnée dans la feuille de calcul ainsi que des liens pour les commander. Pour vous aider à choisir vos quincailleries, vous pouvez consulter la rubrique sur les fixations. Vous pouvez également confier à BILP la conception de votre projet.
<pagebreak1>
TEXTE APRES GLOBAL









